Class 10 Maths MCQ Chapter 10 বৃত্ত Assamese Medium
আপুনি যদি অসমীয়া মাধ্যম Class 10 ৰ ছাত্র বা ছাত্রী হয় তেনেহলে নিচ্ছই আপুনি ইন্টাৰনেট ত Class 10 Maths MCQ Chapter 10 বৃত্ত Assamese Medium সমাধান বিচাৰি আছে? হয়। চিন্তা নকৰিব, আমাৰ এই প্রবন্ধত অসমীয়া মাধ্যমৰ Class 10 Maths MCQ Chapter 10 ৰ সম্পূৰ্ণ সমাধান বিনামূলীয়া কৈ যোগান ধৰা হৈছে।
অধ্যায়- ১০
বৃত্ত
বহু বিকল্পধর্মী প্রশ্ন-উত্তৰ (MCQ)
👉 Read Also:
প্রশ্নঃ এটা বিন্দু Qৰ পৰা এটা বৃত্তৰ স্পৰ্শকৰ দৈর্ঘ্য 24cm আৰু কেন্দ্ৰৰ পৰা Q ৰ দূৰত্ব 25cm। বৃত্তটোৰ ব্যাসার্ধ হ’ল-
(a) 21cm
(b) 14cm
(c) 7cm
(d) 21.5cm
উত্তৰঃ (c) 7cm
প্রশ্নঃ এটা বিন্দু Pৰ পৰা এটা বৃত্তৰ PA আৰু PB স্পর্শককেইডালে পৰস্পৰ ৪০° কোণত হালি থাকে, তেন্তে ∠POA-
(a) 700
(b) 45°
(c) 500
(d) 90°
উত্তৰঃ (c) 50°
প্রশ্নঃ দুটা ঐক্যকেন্দ্রিক বৃত্তৰ কালি 1386cm² আৰু 962.5cm² বৃত্তদুটাৰ মাজৰ আঙঠিটোৰ প্ৰন্থ-
(a) 3.5 cm
(b) 2.8 cm
(c) 4.2 cm
(d) 3,8 cm
উত্তৰঃ (a) 3.5 cm
প্রশ্নঃ 3cm ব্যাসার্ধৰ এটা বৃত্তৰ A বিন্দুৰ পৰা টনা স্পৰ্শকৰ দীঘ 4cm। বৃত্তৰ কেন্দ্ৰটোৰ পৰা A বিন্দুৰ দূৰত্ব হ’ল-
(a) 7cm
(c) 5cm
(b) 25cm
(d) √7 cm
উত্তৰঃ (c) 5cm
প্রশ্নঃ এটা বৃত্তৰ দুডাল সমান্তৰাল স্পৰ্শকৰ স্পৰ্শ কিন্দু সংযোগ কৰা ৰেখাখণ্ড হৈছে HSLC 25
(a) বৃত্তটোৰ ব্যাসার্ধ
(b) বৃত্তটোৰ ব্যাস
(c) বৃত্তটোৰ ছেদক
(d) বৃত্তটোৰ চাপ
উত্তৰঃ (c) বৃত্তটোৰ ছেদক
প্রশ্নঃ O কেন্দ্রীয় বৃত্ত এটাৰ T বিন্দুত PT এডাল স্পর্শক। যদি OT=6cm আৰু OP-10cm হয় তেন্তে PT ৰ দৈর্ঘ্য হ’ল-
(a) 4cm
(c) 12cm
(b) 8cm
(d) 18cm
উত্তৰঃ (b) 8cm
প্রশ্নঃ ∆ABC ত XY || BC। যদি AB=4BX আৰু YC = 2cm হয়, তন্তে AY ব মান হ’ব- HSLC ’24
(a) 4 cm
(b) 6 cm
(c) 5 cm
(d) 8 cm
সমাধানঃ (b) 6 cm
প্রশ্নঃ এটা বৃত্তৰ বহিঃবিন্দুৰ পৰা টানিব পৰা স্পর্শকৰ সংখ্যা-
(a) 3
(b) 0
(c) 1
(d) 2
উত্তৰঃ (d) 2
প্রশ্নঃ এটা বৃত্তৰ পৰিধি 44 ছে.মি. হ’লে, ইয়াৰ কালি হ’ব-
(a) 44 cm²
(b) 176 cm²
(c) 154 cm²
(d) 276 cm²
উত্তৰঃ (c) 154 cm²
প্রশ্নঃ 3cm ব্যাসার্ধৰ এটা বৃত্তৰ বিন্দুৰ পৰা টনা স্পৰ্শকৰ দীঘ 4cm। বৃত্তটোৰ কেন্দ্ৰৰ পৰা A বিন্দুৰ দূৰত্ব হ’ল-
(a) 5cm
(c) 7cm
(b) 3cm
(d) 1cm
উত্তৰঃ (a) 5cm
প্রশ্নঃ 5cm ব্যাসার্ধযুক্ত এটা বৃত্তৰ এটা বিন্দু Pত টনা এডাল স্পর্শক PQ য়ে কেন্দ্র O ৰ মাজেৰে যোৱা এডাল ৰেখাক Q বিন্দুত লগ লাগে যাতে OQ=12cm| PQ ৰ দৈর্ঘ্য হ’ল-
(a) √119 cm
(b) 12cm
(c) 8.5cm
(d) 13cm
উত্তৰঃ (a) √119 cm
প্রশ্নঃ 5 চে.মি. ব্যাসার্দ্ধযুক্ত এটা বৃত্তৰ এটা বিন্দু Pত টনা এডাল স্পর্শক PQ য়ে কেন্দ্ৰৰ মাজেৰে যোৱা এডাল ৰেখাই বিন্দুত লগ লাগে যাতে OQ =12 চে.মি.। PQ ৰ দৈর্ঘ্য হ’লঃ
(a) 12cm
(b) 119
(c) 13cm
(d) 8.5 cm
উত্তৰঃ (b) 119
প্রশ্নঃ O কেন্দ্রীয় বৃত্ত এটাৰ P বিন্দুত PQ এডাল স্পর্শক। যদি OPQ সমদ্বিবাহু ত্রিভুজ তেন্তে ∠OQP ৰ মান হ’ব-
(a) 450
(b) 90°
(c) 30°
(d) 60°
উত্তৰঃ (a) 45°
প্রশ্নঃ O কেন্দ্ৰীয় বৃত্তৰ ভিতৰত থকা ABC এটা সমবাহু ত্রিভুজ। ∠BOC ৰ মান হ’ব-
(a) 100°
(b) 120°
(c) 110°
(d) 130°
উত্তৰঃ (b) 120°
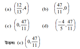
প্রশ্নঃ (7, 3) আৰু (-4, 5) বিন্দু সংযোগী ৰেখাক y অক্ষই ভাগ কৰা ছেদবিন্দুৰ স্থানাংক হ’ব-
প্রশ্নঃ এটা সমান্তৰ প্ৰগতিৰ প্ৰথম আৰু শেষ পদ ক্রমে 1 আৰু 11। যদি সমান্তৰ প্ৰগতিটোৰ পদবোৰৰ যোগফল 36 হয়, তেন্তে পদৰ সংখ্যা হ’ব- HSLC ’24
(a) 6
(b) 8
(c) 10
(d) 12
সমাধানঃ (a)6
প্রশ্নঃ এটা বৃত্তৰ AB এডাল জ্যা আৰু AD ব্যাস। যদি AD=34cm আৰু AB=30cm তেন্তে কেন্দ্ৰৰ পৰা জ্যালৈ দূৰত্ব হ’ব-
(a) 4cm
(b) 17cm
(c) 8cm
(d) 15cm
উত্তৰঃ (c) 8cm
প্রশ্নঃ বৃত্তৰ আটাইতকৈ ডাঙৰ জ্যাডালক কোৱা হয়-
(a) ব্যাস
(b) ব্যাসার্ধ
(c) মুখ্য ব্যাস
(d) চাপ
উত্তৰঃ (a) ব্যাস।
প্রশ্নঃ এটা বৃত্তৰ বহিঃবিন্দু এটাৰ পৰা বৃত্তটোলৈ টানিব পৰা স্পৰ্শকৰ সংখ্যা হ’ল-
(a) 4
(b) 3
(c) 2
(d) 1
উত্তৰঃ (c) 2
প্রশ্নঃ এটা বৃত্তৰ ব্যাস 17cm। যদি বৃত্তটোৰ দুয়োফালে থকা দুডাল জ্যাৰ মাজৰ দূৰত্ব 23cm। এডাল জ্যাৰ দীঘ 16cm হ’লে আনটো জ্যাৰ দীঘ হ’ব-
(a) 30cm
(b) 50cm
(c) 24cm
(d) 40cm
উত্তৰঃ (a) 30cm
প্রশ্নঃ যদি CM আৰু RN ক্রমে ∆АВС আৰু APQR মধ্যমা হয়, আৰু ∆ABC ~ ∆PQR হয়, তেন্তে তলৰ কোনটো শুদ্ধ? HSLC ’24
(a) ДАМС ~ APNR
(b) ДАМС~ APRN
(с) ДАМС~ ANRP
(d) ДАМС~ ARNP
সমাধানঃ (a) ∆AMC ~ APNR
প্রশ্নঃ এটা বৃত্তৰ কিমানবোৰ স্পৰ্শক থাকিব পাবে?
(a) দুটা
(c) এটা
(b) তিনিটা
(d) অসীম
উত্তৰঃ (d) অসীম।
প্রশ্নঃ এটা বিন্দু Q ৰ পৰা এটা বৃত্তৰ স্পৰ্শকডালৰ দৈর্ঘ্য 24 চে.মি. আৰু কেন্দ্ৰৰ পৰা Q ৰ দূৰত্ব 25 চে.মি. বৃত্তটোৰ ব্যাসার্দ্ধ হ’ল-
(a) 12cm
(b) 15cm
(c) 7cm
(d) 24 cm
উত্তৰঃ (c) 7cm
প্রশ্নঃ এটা বৃত্তৰ স্পর্শকে ইয়াক ……….. বিন্দুত ছেদ কৰে।
(a) অসীম
(b) এটা
(c) তিনিটা
(d) দুটা
উত্তৰঃ (b) এটা।
প্রশ্নঃ এটা বৃত্তৰ বৰ বেছি ……. সমান্তৰাল স্পর্শক থাকিব পাৰে।
(a) এটা
(b) দুটা
(c) তিনিটা
(d) চাৰিটা
উত্তৰঃ (b) দুটা।
প্রশ্নঃ বৃত্তৰ পৰিধি আৰু ব্যাসার্দ্ধৰ পার্থক্য 37 cm। বৃত্তটোৰ কালি-
(a) 111 cm²
(b) 184 cm²
(c) 259 cm²
(d) 154 cm²
উত্তৰঃ (d) 154 cm²
প্রশ্নঃ 24 ছে. মি. আৰু 7 ছে. মি. বিশিষ্ট দুটা বৃত্তৰ কালি আন এটা বৃত্তৰ কালিৰ সমান হ’লে নতুন বৃত্তটোৰ ব্যাস-
(a) 62 cm
(b) 50 cm
(c) 25 cm
(d) 31 cm
উত্তৰঃ (c) 25 cm
প্রশ্নঃ যদি এটা বিন্দু Pৰ পৰা O কেন্দ্ৰযুক্ত এটা বৃত্তৰ P4 আৰু PB স্পর্শককেইডাল পৰস্পৰ 80° কোণত হালি থাকে, তেন্তে ∠POA ৰ মান হ’ব- HSLC ’24
(a) 60°
(b) 500
(c) 70°
(d) 80°
সমাধানঃ (b) 50°
প্রশ্নঃ এটা বৃত্তৰ এডাল স্পর্শক আৰু বৃত্তটোৰ উমৈহতীয়া বিন্দুটোক …………. বোলে।
(a) স্পর্শক
(c) ছেদবিন্দু
(b) কেন্দ্রবিন্দু
(d) স্পর্শবিন্দু
উত্তৰঃ (d) স্পর্শবিন্দু।
প্রশ্নঃ এটা বৃত্তক দুটা বিন্দুত ছেদ কৰা এডাল বেখাক ………… বোলে।
(a) স্পর্শক
(b) ব্যাস
(c) ছেদক
(d) সমদ্বিখণ্ডক
উত্তৰঃ (c) ছেদক।
👉 Read Also:


